34612-38-9 麦芽四糖 -碳水化合物 -医药中间体 -对照品 -糖类生化试剂 -结构式 -质量标准 -标准品-鼎信通李杰
	鼎信通现货试剂稳定供应,品质保障,多种包装格:1G;10G;50G;100G欢迎电询李杰 18327179646/QQ1983320361
声明:本公司供应的产品仅用于工业应用或者科学研究等非医疗目的,不可用于人类或者动物的临床诊断
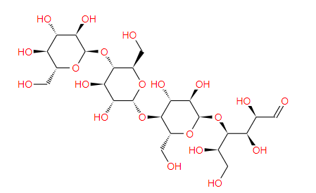
中文名称麦芽四糖
英文名称MALTOTETRAOSE
CAS号34612-38-9
分子式C24H42O21 分子量666.58
EINECS号252-111-0
	
我司其他优势试剂
	双唾液酸神经节苷酯GD1B    19553-76-5
2-[(2-Azidoacetyl) amino] -2-deoxy-D-glu- copyranose    1384117-59-2
GDP-甘露糖    103301-73-1
2'-脱氧腺苷-5'-三磷酸三钠盐100mM溶液    1927-31-7
5`-单磷酸腺嘌呤核苷-唾液酸二钠盐    3063-71-6
假尿苷    1445-07-4
5-甲基胞苷 5'-三磷酸酯    327174-86-7
UDPG    117756-22-6
尿苷-5'-三磷酸三钠盐    19817-92-6
UDP-木糖    108320-89-4
(S)-GNA-胸腺嘧啶亚磷酰胺单体    168332-13-6
(S)-GNA-A(Bz)-phosphoramidite    851050-24-3
D-甘露糖    3458-28-4
D-半乳糖    59-23-4
乳糖-N-新四糖    13007-32-4
血型A三糖    49777-13-1
血型A型四糖VI型    59957-92-5
2'-岩藻糖基乳糖    41263-94-9
乳糖-N-丙糖II    75645-27-1
D-无水葡萄糖    50-99-7
血型H二糖    16741-18-7
LEWIS X TRISACCHARIDE    71208-06-5
3'-唾液乳糖钠盐    128596-80-5
N-羟乙酰神经氨酸    1113-83-3
麦芽四糖    34612-38-9
麦芽三糖    1109-28-0
3'-岩藻糖基乳糖    41312-47-4
	